티스토리 뷰
📌 그래프 탐색
- 하나의 정점으로부터 시작, 차례대로 모든 정점을 방문하는 것.
- 방문한 노드와, 방문할 노드를 저장해두어야 무한루프를 방지할 수 있다.
- 대표적으로 깊이 우선 탐색(DFS)과 너비 우선 탐색(BFS)이 있다.
💡 깊이 우선 탐색(DFS) 과 너비 우선 탐색(BFS)

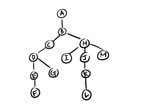
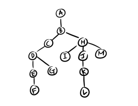
1. 너비우선 탐색(BFS)
- A → B → C → H → D → I → J → M → E → G → K → F → L
- 한 단계씩 나아가며 현재 노드와 같은 레벨에 있는 노드(형제 노드)들을 순회하는 방식.
- 큐(Queue) 를 사용해 선입선출(FIFO) 원칙으로 탐색.
2. 깊이 우선 탐색(DFS)
- A → B → C → D → E → F → G → H → I → J → K → L → M
- 노드 하나의 자식을 타고 끝까지 순회한 다음, 시작 노드의 형제 노드를 타고 내려가며 순회하는 방식.
'Computer Science > 자료구조' 카테고리의 다른 글
| 이진 탐색(1) 순차 탐색, 이진 탐색 (0) | 2021.12.01 |
|---|---|
| 퀵 정렬(4) 이것이 코딩테스트다 - 실전 문제 (0) | 2021.11.30 |
| 퀵 정렬(3) 퀵 정렬의 시간 복잡도 (0) | 2021.11.24 |
| 퀵 정렬(2) 호어 분할 방식 구현 / Python (0) | 2021.11.23 |
| 퀵 정렬(1) (0) | 2021.11.22 |
댓글