티스토리 뷰

📌 1991. 트리 순회
이진 트리를 입력받아 전위 순회(preorder traversal), 중위 순회(inorder traversal), 후위 순회(postorder traversal)한 결과를 출력하는 프로그램을 작성하시오.

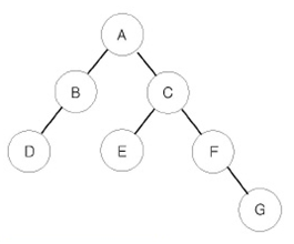
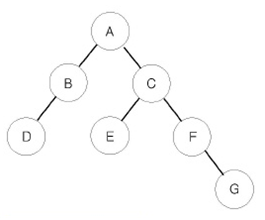
예를 들어 위와 같은 이진 트리가 입력되면,
- 전위 순회한 결과 : ABDCEFG // (루트) (왼쪽 자식) (오른쪽 자식)
- 중위 순회한 결과 : DBAECFG // (왼쪽 자식) (루트) (오른쪽 자식)
- 후위 순회한 결과 : DBEGFCA // (왼쪽 자식) (오른쪽 자식) (루트)
✏️ 입력.
첫째 줄에는 이진 트리의 노드의 개수 N(1 ≤ N ≤ 26)이 주어진다. 둘째 줄부터 N개의 줄에 걸쳐 각 노드와 그의 왼쪽 자식 노드, 오른쪽 자식 노드가 주어진다. 노드의 이름은 A부터 차례대로 알파벳 대문자로 매겨지며, 항상 A가 루트 노드가 된다. 자식 노드가 없는 경우에는 .으로 표현한다.
📋 출력.
첫째 줄에 전위 순회, 둘째 줄에 중위 순회, 셋째 줄에 후위 순회한 결과를 출력한다. 각 줄에 N개의 알파벳을 공백 없이 출력하면 된다.
✍️ Python : Node()
class Node:
def __init__(self, item, left, right):
self.item = item
self.left = left
self.right = right
✍️ Python : 전위 순회
def preorder(node): # 전위 순회
print(node.item, end='') # 현재 노드
if node.left != '.':
preorder(tree[node.left]) # 왼쪽 노드
if node.right != '.':
preorder(tree[node.right]) # 오른쪽 노드
- left, right 노드가 . 이면 해당 노드에 자식노드가 없는 것이므로 재귀함수가 진행되지 않는다
- 전위 순회의 순서는 현재 노드 → 왼쪽 노드 → 오른쪽 노드
- 재귀에 빠지면 해당 코드라인 이하는 실행이 미뤄지므로, 순회의 순서대로 코드를 위와 같이 작성한다
✍️ Python : 중위 순회
def inorder(node): # 중위 순회
if node.left != '.': # 왼쪽 노드
inorder(tree[node.left])
print(node.item, end='') # 현재 노드
if node.right != '.': # 오른쪽 노드
inorder(tree[node.right])
- left, right 노드가 . 이면 해당 노드에 자식노드가 없는 것이므로 재귀함수가 진행되지 않는다
- 중위 순회의 순서는 왼쪽 노드 → 현재 노드 → 오른쪽 노드
- 재귀에 빠지면 해당 코드라인 이하는 실행이 미뤄지므로, 순회의 순서대로 코드를 위와 같이 작성한다
✍️ Python : 후위 순회
def postorder(node): # 후위 순회
if node.left != '.': # 왼쪽 노드
postorder(tree[node.left])
if node.right != '.': # 오른쪽 노드
postorder(tree[node.right])
print(node.item, end='') # 현재 노드
- left, right 노드가 . 이면 해당 노드에 자식노드가 없는 것이므로 재귀함수가 진행되지 않는다
- 후위 순회의 순서는 왼쪽 노드 → 오른쪽 노드 → 현재 노드
- 재귀에 빠지면 해당 코드라인 이하는 실행이 미뤄지므로, 순회의 순서대로 코드를 위와 같이 작성한다
✍️ Python : 실행
if __name__ == "__main__":
cnt = int(input())
tree = {}
root = ""
for _ in range(cnt):
node, left, right = map(str, input().split())
tree[node] = Node(item=node, left=left, right=right)
if root == "":
root = node
preorder(tree[root])
print()
inorder(tree[root])
print()
postorder(tree[root])
- 이진 트리를 구현하지않고, 딕셔너리를 활용했다
✍️ Python : 최종 제출 코드
class Node:
def __init__(self, item, left, right):
self.item = item
self.left = left
self.right = right
def preorder(node): # 전위 순회
print(node.item, end='')
if node.left != '.':
preorder(tree[node.left])
if node.right != '.':
preorder(tree[node.right])
def inorder(node): # 중위 순회
if node.left != '.':
inorder(tree[node.left])
print(node.item, end='')
if node.right != '.':
inorder(tree[node.right])
def postorder(node): # 후위 순회
if node.left != '.':
postorder(tree[node.left])
if node.right != '.':
postorder(tree[node.right])
print(node.item, end='')
if __name__ == "__main__":
N = int(input())
tree = {}
root = ""
for _ in range(N):
node, left, right = map(str, input().split())
tree[node] = Node(item=node, left=left, right=right)
if root == "":
root = node
preorder(tree[root])
print()
inorder(tree[root])
print()
postorder(tree[root])
'Computer Science > 백준 알고리즘' 카테고리의 다른 글
| [백준.11656 - Python] 접미사 배열 (0) | 2021.11.27 |
|---|---|
| [백준.11650 - Python] 좌표 정렬하기 (0) | 2021.11.27 |
| [백준.10546 - Python] 배부른 마라토너 (0) | 2021.11.12 |
| [백준.14426 - Python] 접두사 찾기 (0) | 2021.11.07 |
| [백준.12034 - Python] 김인천씨의 식료품가게 (Large) (0) | 2021.11.07 |